Sign up for FlowVella
Sign up with FacebookAlready have an account? Sign in now
By registering you are agreeing to our
Terms of Service
Loading Flow
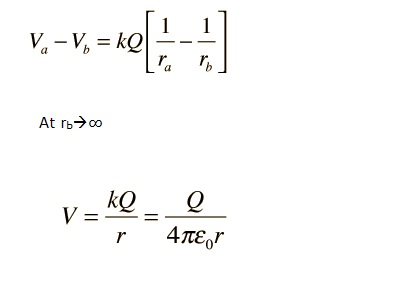
Electric potential
The electric potential (or simply potential) at a point in an electric field is defined as the work done in moving a unit positive charge from infinity to that point. The electric potential at infinity is assumed to be zero. Force and potential energy are directly related.
