Sign up for FlowVella
Sign up with FacebookAlready have an account? Sign in now
By registering you are agreeing to our
Terms of Service
Loading Flow


Unique Differences Between All of Them
The Carbon to Hydrogen to Oxygen ratios are very different from each other. The simplified ratio in carbohydrates is 1:2:1. The picture only shows a monomer, hexose.

This diagram is of a triglyceride/fat which is a type of lipid. Its simplified carbon to hydrogen to oxygen ratio is 6:10:3. Triglyceride is the monomer glycerol, and three fatty acid tails bonded together through dehydration synthesis.

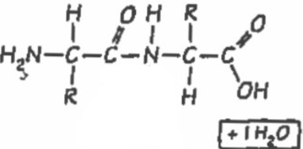
This diagram is a type of protein, and like other proteins enzymes are made up of amino acid. The much smaller ratio of enzymes is 4:6:3.
This is a diagram of RNA and DNA, which are two types of nucleic acids. Nucleic acids are built out of nucleotides, a base, and PO4 . The ratio of nucleotides have a simplified ratio of 1:2:1.