Sign up for FlowVella
Sign up with FacebookAlready have an account? Sign in now
By registering you are agreeing to our
Terms of Service
Loading Flow
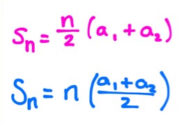
Steps to solve:
Step 1:

Step 2:

Step 3:

In order to solve this question, you must first figure out what equation you are going to use. With this question we use two formulas. The first is shown in step 1. This equation is used to find the amount of money that they winner in 8th place will receive. The next equation (shown right below) will be used to find the total amount of money awarded to the 8 winners.
