Sign up for FlowVella
Sign up with FacebookAlready have an account? Sign in now
By registering you are agreeing to our
Terms of Service
Loading Flow
L'Energia Potenziale
~Gravitazionale~
È il lavoro che compie la forza peso per portare un corpo da una quota "a" ad una quota "b".


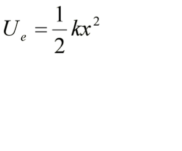
~Elastica~
Equivale al lavoro che deve compiere una molla compressa o allungata per tornare alla posizione di riposo.


UB - UA = -WAB