Sign up for FlowVella
Sign up with FacebookAlready have an account? Sign in now
By registering you are agreeing to our
Terms of Service
Loading Flow
Father’s Day
Home
Specials
Wine
Menu
Contact
Events
Graduation Celebration
Summer Solstice Party
Lorem ipsum dolor sit amet, consectetur adipiscing elit, sed do eiusmod tempor incididunt ut labore et dolore magna aliqua. Ut enim ad minim veniam, quis nostrud exercitation ullamco laboris nisi ut aliquip ex ea.




PROCEDIMIENTO
EJEMPLO
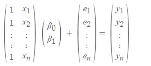
El modelo se expresa como




EJEMPLO
¿QUÉ ES?
DESARROLLO
EJEMPLO
