Sign up for FlowVella
Sign up with FacebookAlready have an account? Sign in now
By registering you are agreeing to our
Terms of Service
Loading Flow
L U X U R Y C U I S I N E
Lorem ipsum dolor sit amet, consectetur adipiscing elit, sed do eiusmod tempor incididunt ut labore et dolore magna aliqua. Ut enim ad minim veniam, quis nostrud exercitation ullamco laboris nisi ut aliquip ex ea.
Home
Specials
Wine
Menu
Contact
Events

¿QUÉ ES?
PROCEDIMIENTO
EJEMPLO


EJEMPLO
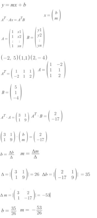
1.Encontrar la recta que mejor se ajusta a los tres puntos(-2,5), (1,1)(2,-4)





¿QUÉ ES?
PROCEDIMIENTO
EJEMPLO


EJEMPLO
1.Encontrar la recta que mejor se ajusta a los tres puntos(-2,5), (1,1)(2,-4)



¿QUÉ ES?
DESARROLLO
EJEMPLO
