Sign up for FlowVella
Sign up with FacebookAlready have an account? Sign in now
By registering you are agreeing to our
Terms of Service
Loading Flow


Remainder Theorem Continued
Synthetic Division:
Long Division:
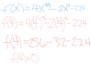
Direct Substitution:




1) Input the equation's coefficients.
2) Put the 4 into the top left corner.
3) Drop the first coefficient number.
4) Multiply it by the 4 in the corner.
put it into the next slot.
5) Add the top coefficient with the multiplied number.
First, solve for x with the dividing expression

Since the remainder is 0, it shows that x-4 is a factor of the polynomial function.
Set the equation up into a normal long division set up.
The remainder is 0. Showing that x-4 is a factor of the polynomial function.

First, solve for x with the dividing expression.
Since f(4)=0, the remainder is 0 meaning that x-4 is a factor of the polynomial function.