Sign up for FlowVella
Sign up with FacebookAlready have an account? Sign in now
By registering you are agreeing to our
Terms of Service
Loading Flow
Like Neuton's law of gravity, but electric forces can be attractive or repulsive.
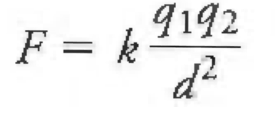
For two charged particles that are much smaller than the distance between them, the force between the two objects varies directly as the product of their charges and inversely as the square of the separation distance.
The unit of charge is the Coulomb, named after the 18th century physicist who discovered this.
1 C = 6.25 billion billion electrons
Coulomb's Law.

d = distance between the charged particles
q1= amount, or quantity of charge of one particle
q2= quantity of charge of the other particle
k = constant